差壓式流量計是根據安裝于管道中檢測件產生的差壓、已知的流體條件和檢測件與管道的幾何尺寸來計算流量的儀表。差壓式流量計由標準節流裝置、差壓變送器和流量積算儀組成。通常以檢測件形式對差壓式流量計分類,如:孔板流量計、文丘里流量計、均速管流量計等。
差壓式流量計可用于測量大多數液體、氣體和蒸汽的流速。差壓式流量計測量的精確度取決于差壓變送器的精確度。
差壓式流量計優點
1、應用范圍廣泛,至今尚無任何一類流量計可與差壓式流量計相比擬。
2、孔板是應用最多的差壓式流量計,它結構牢固、性能穩定可靠、使用壽命長。
3、檢測件、差壓變送器、流量積算儀可分別由不同廠家生產,便于規模經濟生產
差壓式流量計缺點
1、差壓式流量計測量精度普遍偏低。
2、范圍度窄,一般僅3:1-4:1
3、差壓式流量計現場安裝條件要求高。
4、孔板、噴嘴等壓損較大。
差壓式流量計工作原理
流體在流經節流件時由于流體被壓縮流體將被加速,由于流體的速度增加導致流體的動能也會相應的增加,按照能量守恒的定律我們知道被加速處流體的靜壓力會減低相應的數值。

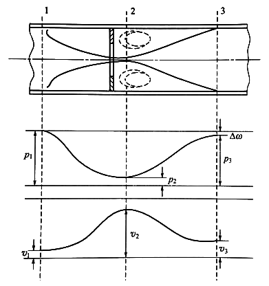
圖1 差壓流量計工作原理圖
如圖1所示:管道在橫截面1處的橫截面積是A1,流體在流經橫截面A1時的平均流速是V1,其密度是ρ1;當流體流過橫截面2時,流體的平均流速變為是V2,密度是ρ2,橫截面積是A2;根據流體流動連續性原理有如下關系式:V1×A1×ρ1=V2×A2×ρ2,如果流體是液體,在壓縮前后流體的密度一般認為是恒定的,即ρ1=ρ2=ρ,因此液體的體積流量:
qv=V1×A1=V2×A2 ------公式①
根據別努利方程(即能量守恒定律),在水平管道上Z1=Z2,則有如下關系式:
------公式②
應用別努利方程和流動連續性原理,在兩個橫截面上則有如下關系式:
------公式③
由公式①,得:V1=A2/A1×V2;將公式①和公式②帶入公式③可得:
-------公式④
在上式中:A1=(πD2)/4,A2=(πd2)/4,根據直徑比根據直徑比β的定義:β=d/D,由公式①可得:V2=qv/A2, 所以:

由此可以得出理論的流量公式:
-------公式⑤
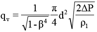
又由流出系數C的定義是:C=實際流量/理論流量, 最后可得出差壓式流量計計算公式:
---------公式⑥
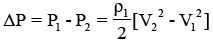
公式⑥中ε被測介質的可膨脹性系數,一般來說對于液體ε=1;對氣體、蒸汽等可以壓縮流體ε<1;qv為流體的體積流量,單位:m3/s);ρ1為工作狀況下,節流件(前)上游處流體的密度,單位:kg/m3;d為工作狀況下節流件的等效開孔直徑,單位:m;△P為差壓,△P=P1-P2,單位:Pa。
差壓式流量計選型
差壓式流量計的選型應考慮以下幾個方面:
1、精確度、重復性、線性度、流量范圍和范圍度
差壓式流量計的標準件有嚴格的使用范圍,包括管徑直徑比,雷諾系數,管壁厚度等參數,因此在實際的選擇和應用中應該合理的選擇這一系列參數。此外差壓式流量計的精度在很大程度上取決于現場的使用條件,在一般情況下取決于流體的條件。
2、流體的特性
流體的特性指的是流體的密度、動力黏度、壓力、溫度、腐蝕性、磨蝕、結垢、臟污等流體的介質條件。因此在選擇是應根據現場流體介質的物理特性合理的選擇的差壓式流量計,在不明白現場流體的物理特性的情況下應該主動使用儀器測量這些物理參數。
3、經濟因素方面
應考率差壓式流量計的采購費用,安裝費用以及安裝后,后期的維護費用,校驗費用。較大口徑的差壓式流量計后期的運行費用是一筆比較大的開銷,因此在選型時應該選擇合適的口徑的差壓式流量計。
4、壓力損失
壓力損失大是差壓式流量計的主要缺點之一。各類節流裝置中孔板和噴嘴是壓損較大的節流件,在同樣的流量及β值時噴嘴的壓損只為孔板壓損的30%-50%,也就是說噴嘴是較低壓損的。各種流量管(文丘里管、道爾管、羅洛斯管、通用文丘里管等)則是低壓損的節流裝置,它們壓損僅為孔板的20%,甚至低達5%-10%。這些節流裝置的開發應用是今后一個努力方向。
差壓式流量計是使用數量比較多的流量計種類之一,昌暉儀表制造有限公司淺析了差壓式流量計的工作原理和選型,為今后差壓式流量計的選擇和使用提供了一定的理論借鑒基礎。
相關閱讀
◆一文弄懂各差壓式流量計結構
◆選用差壓式流量計時這些經驗會幫到你
◆差壓式流量計常用計算公式及計算實例
