
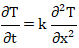
傅里葉級數就是這樣的一個例子。約瑟夫·傅里葉(Joseph Fourier)是一位19世紀的法國數學家,他對熱如何在物體中流動很感興趣。他的第一個貢獻是現在稱為熱方程的公式,也是一個偏微分方程的例子,它描述了物體的溫度T如何隨時間t和空間x變化。用現代符號表示,熱方程如下:
其中k是物體的熱導率,這個數值衡量了物體傳導熱量的能力。
如果你能找到這個方程的解,它會告訴你物體在每個點x和時間t的溫度T(x,t)。
傅里葉的第一個非凡想法是,他可以通過將T(x,t)表示為簡單函數的和來解熱方程,然后用這些函數來找到解。就好比分塊砌磚蓋房子比一次性蓋房子要容易得多。
他的第二個非凡的想法在于他選擇了哪些函數來構建溫度。他選擇了在三角學(研究三角形)中出現的正弦和余弦函數,因此他寫下了T的表達式:
這個和式是無窮的,
后的下一個項是
,
后的再下一個是
,以此類推。其中a0(t)、a1(t)、a2(t)等等和b1(t)、b2(t)、b3(t)等等都是系數,其具體值取決于初始條件。這種表達式現在被稱為傅里葉級數。
乍一看,這種表示T的方法很不一般。畢竟,三角形和熱流之間可能有什么聯系呢? 然而,這正是解決上述熱方程的正確選擇。它使問題分解為一組更簡單的問題,每個問題都可以單獨解決,然后組合起來找到原問題的解。
事實上,在傅里葉最初的想法提出之后不久,人們發現用正弦和余弦來構建函數也可以解決許多其他問題,包括描述波的運動、氣體的行為、許多重力問題、電靜力學、電磁學、儀表,甚至股市行為的問題。
在傅里葉發現傅里葉級數之后,許多數學家開始致力于擴展和推廣他的思想,并在此過程中發現了許多美妙的結果,包括一個巧妙的推導公式(最初由萊昂哈德·歐拉發現):
傅里葉級數及其在計算機上的離散推廣在現代技術中起著基礎性的作用。特別是我們用它們來合成和處理聲音、信息和圖像,音樂、電視、視頻產業和儀表領域的存在都離不開傅里葉級數。
