1、范圍
《溫度變送器校準規范JJF 1183-2007》適用于傳感器為熱電偶或熱電阻的溫度變送器。溫度變送器包括帶溫度傳感器和不帶溫度傳感器的。JJF 1183-2007替代JJG 829-1993
2、本規范引用下列文獻
GB/T 16839.2-1997 熱電偶第二部分:允差
JJG128-2003 二等標準水銀溫度計檢定規程
JJG141-2000 工作用貴金屬熱電偶檢定規程
JJG229-2010 工業鉑、銅熱電阻檢定規程
JJF1637-2017 廉金屬熱電偶校準規范
GB/T 16839.2-1997 工業鉑電阻技術條件及分度表
GB/T 16839.2-1997 工業銅電阻技術條件及分度表
使用本規范時,應注意使用上述引用文獻的現行有效版本。
溫度變送器是一種將溫度變量轉化為可傳送的標準化輸出信號的儀表。主要用于工業過程溫度參數的測量和控制。
帶傳感器的溫度變送器(一體化溫度變送器)通常由兩部份組成:傳感器和信號轉換器。傳感器主要是熱電偶和熱電阻;信號轉換器主要由測量單元、信號處理和轉換單元組成(由于工業用熱電偶和熱電阻的分度表是標準化的,因此信號轉換器單獨作為產品時也成為溫度變送器),有些溫度變送器增加了顯示單元,有些還具有現場總線功能。
溫度變送器如果由兩個用來測量溫差的傳感器組成時,輸出信號與溫差之間有一給定的連續函數關系,也成為溫差變送器。溫度變送器的輸出信號與溫度變量之間有一給定的連續函數關系(通常稱為線性函數),早期生產的溫度變送器其輸出信號與溫度傳感器的電阻值(或電壓值)之間承線性函數關系。標準化輸出的信號主要為0-10mA和4-20mA的直流電流信號。不排除具有特殊規定的其他標準化信號。
溫度變送器按供電接線方式可分為二線制和四線制。注:二線制溫度變送器輸出只能為4-20mA。
變送器有電動單元組合儀表系列的(DDZ-Ⅱ型、DDZ-Ⅲ型和DDZ-S型)和小型化模塊式的、多功能智能型的。前者均不帶傳感器;后兩類變送器可以方便地與熱電偶或熱電阻組成帶傳感器的變送器(一體化溫度變送器)。
4、計量特性
4.1 測量誤差
溫度變送器的測量誤差是將溫度轉換成標準化輸出信號時產生的誤差。
a)不帶傳感器的溫度變送器(信號轉換器)最大允許誤差按準確度等級予以劃分。在標準條件下,變送器的準確度等級與最大允許誤差的關系如表1規定。
表1 準確度等級與最大允許誤差
|
溫度變送器準確度等級 |
溫度變送器最大允許誤差(%FS) |
|
0.1 |
± 0.1 |
|
0.2 |
± 0.2 |
|
0.5 |
± 0.5 |
|
1.0 |
± 1.0 |
|
1.5 |
± 1.5 |
|
2.5 |
± 2.5 |
|
注:最大允許誤差是以輸出量程的百分數表示。當輸入的溫度變量與輸出信號呈線性函數關系時,最大允許誤差也可以以輸入量程的百分數表示。 |
|
4.2 安全性能
4.2.1 絕緣電阻
在環境溫度為15-35℃,相對濕度為45-75%時,溫度變送器各組端子(包括外殼)之間的絕緣電阻應不小于表2的規定。
表2 絕緣電阻的技術要求
|
試驗部位 |
技術要求 |
說明 |
|
輸入、輸出端子短接—外殼 |
20MΩ |
適用于二線制變送器 |
|
電源端子—外殼 |
50MΩ |
適用于四線制變送器 |
|
輸入、輸出端子短接—電源端子 |
50MΩ |
|
|
輸入端子—輸出端子 |
20MΩ |
只適用于輸入、輸出隔離的變送器 |
環境溫度為15-35℃,相對濕度為45-75%時,溫度變送器各組端子(包括外殼)之間施加表3規定的試驗電壓(頻率為50Hz),歷時1min應無擊穿和飛弧現象。
帶傳感器的溫度變送器不進行此項試驗。
表3 絕緣強度試驗電壓
|
試驗部位 |
試驗電壓/V |
說明 |
||
|
12-48V |
110V |
220V |
||
|
輸入、輸出端子短接—外殼 |
500 |
500 |
500 |
適用于二線制變送器 |
|
電源端子—外殼 |
500 |
1000 |
1500 |
適用于四線制變送器 |
|
輸入、輸出端子短接—電源端子 |
500 |
1000 |
1500 |
|
|
輸入端子—輸出端子 |
500 |
500 |
500 |
只適用于輸入、輸出隔離的變送器 |
5、溫度變送器校驗條件
5.1校準器及其他設備
校準時所需的校準儀器及配套設備按被校變送器的類型可從表4中參考選擇。從提高校準能力出發,校準儀器及配套設備引入的擴展不確定度與被校變送器最大允許誤差絕對值相比應盡可能小。
表4 標準儀器及配套設備
|
序號 |
儀器設備名稱 |
技術要求 |
用途 |
備注 |
|
1 |
直流低電勢電位差計或標準直流電壓源 |
0.02級、0.05級 |
標準熱電偶輸入的變送器(不帶傳感器) |
輸出阻抗不大于100Ω |
|
2 |
直流電阻箱 |
0.01級、0.02級 |
校準熱電阻輸入的變送器(不帶傳感器) |
|
|
3 |
補償導線和0℃恒溫器 |
補償導線應與輸入熱電偶分度號相配,經檢定具有10- 30℃的修正值0℃恒溫器的溫度偏差≤±0.1℃ |
具有參考端溫度自動補償變送器(不帶傳感器)校準用專用連線 |
0℃恒溫器可用冰點槽代替 |
|
4 |
專用連接導線 |
其阻值應符合制造廠說明書的要求。三線制連接時,線間電阻值之差應盡可能小,在阻值無明確規定時,可在同一根銅導線上等長度(不超過1m)截取三段導線組成 |
直流電阻箱與變送器輸入端之間的連接導線 |
|
|
5 |
直流電流表 |
0-30mA;0.01-0.05級 |
變送器輸出信號的測量標準 |
|
|
6 |
直流電壓表 |
0-5V、 0-50V;0.01-0.05級 |
直流電壓表單獨可以作為變送器電壓輸出信號的測量標準;與標準電阻組合取代直流電流表作為變送器電流輸出信號的測量標準 |
|
|
7 |
標準電阻 |
00Ω(250Ω);不低于0.05級 |
|
|
|
8 |
交流穩壓源 |
220V,50Hz,穩定性1%,功率≥1kW |
變送器的交流供電電源 |
|
|
9 |
直流穩壓源 |
12-48V,允差±1% |
變送器的直流供電電源 |
|
|
10 |
二等鉑電阻標準裝置或二等水銀溫度計標準裝置 |
符合JJG229-1998或JJG128-2003中對標準器及配套設備的要求 |
帶熱電阻溫度變送器校準用的輸入標準 |
|
|
11 |
一、二等標準鉑銠10-鉑熱電偶標準裝置 |
符合JJG351-1996或JJG141-2000中對標準器及配套設備的要求 |
帶熱電偶溫度變送器校準用的輸入標準 |
|
|
12 |
絕緣電阻表 |
直流電壓100V,500V 10級 |
測量變送器的絕緣電阻 |
帶傳感器的溫度變送器用100V |
|
13 |
耐電壓試驗儀 |
輸出電壓:交流0~1500V |
測量變送器的絕緣強度 |
|
5.2 環境條件
環境溫度15-35℃;相對濕度<85%。
為保障校準具有盡可能小的不確定度,建議校準應在以下的標準環境條件下進行。這些條件還有利于在用戶提出要求時,能給出是否符合儀表計量特性的說明。
a)環境溫度20℃±2℃(0.1級~0.2級變送器); 20℃±5℃(0.5級~2.5級變送器)。
b)相對濕度45-75%。
c)溫度變送器周圍除地磁場外,應無影響其他正常工作的外磁場。
5.3 電源
變送器的工作電源:交流供電的變送器,其電壓變化不超過額定值的±1%、頻率不超過額定值的±1%;直流供電的變送器,其電壓變化不超過額定值的±1%。
6、溫度變送器校準項目和溫度變送器校準方法
6.1校準項目
a)變送器的校準項目為:測量誤差和絕緣電阻的測量。
b)新制造的不帶傳感器的變送器還應進行絕緣強度的測量。
c)對DDZ系列變送器,根據委托者的要求還可以按附錄B的要求進行負載特性、電源影響和輸出交流分量的測量。
6.2 校準方法
6.2.1 測量誤差的校準
6.2.1.1 準備工作
a)設備配置與連接
帶傳感器的變送器將傳感器插入溫度源(恒溫槽或熱電偶檢定爐)中,并盡可能靠近標準溫度計。變送器校準時與標準器及配套設備的連接見附錄A。
b)通電預熱 預熱時間按制造廠說明書中的規定進行,一般為15min;具有參考端溫度自動補償的為30min。
c)校準前的調整。
(調整須在委托方同意的情況下進行)不帶傳感器的變送器可以用改變輸入信號的辦法對相應的輸出下限值和上限值進行調整,使其與理論的下限值和上限值相一致。
對于輸入量程可調的變送器,應在校準前根據委托者的要求將輸入規格及量程調到規定值再進行上述調整。
帶傳感器的變送器可以在斷開傳感器的情況下對信號轉換器單獨進行上述調整,如測量結果仍不能滿足委托者的要求時,還可以在恒溫槽或熱電偶檢定爐中重新調整。
在測量過程中不允許調整零點和量程。
注:(1)一般的變送器可以通過調整“零點”和“滿量程”來完成調整。
(2)具有現場總線的變送器,必須按說明書的要求通過手操器(或適配器)分別調整輸入部分及輸出部分的“零點”和“滿量程”來完成調整工作,同時應將變送器的阻尼值調整至最小。
6.2.1.2 校準
校準點的選擇:校準點的選擇應按量程均勻分布,一般應包括上限值、下限值和量程50%附近在內不少于5個點。0.2級及以上等級的變送器應不少于7個點。
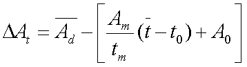
a)帶傳感器的變送器在校準時測量順序可以先從測量范圍的下限溫度開始,然后自下而上依次測量。在每個試驗點上,待溫度源內的溫度足夠穩定后方可進行測量(一般不少于30min):應輪流對標準溫度計的示值和變送器的輸出進行反復6次讀數。按式(1)計算測量誤差:
公式(1)

--- 變送器各被校點的測量誤差(以輸出的量表示),mA或V;
--- 變送器被校點實際輸出的平均值,mA或V;
--- 變送器的輸出量程,mA或V;
--- 變送器的輸入量程,℃;
--- 變送器輸出的理論下限值,mA或V;
--- 標準溫度計測得的平均溫度值,℃;
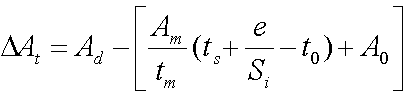
--- 變送器輸入范圍的下限值,℃。b)不帶傳感器的變送器在校準時,應從下限開始平穩地輸入各被校點對應的信號值,讀取并記錄輸出值直至上限;然后反方向平穩改變輸入信號依次到各個被校點,讀取并記錄輸出值直至下限。如此為一次循環,須進行三個循環的測量。在接近被校點時,輸入信號應足夠慢,以避免過沖。
注:在對熱電偶輸入的變送器(具有參考端溫度自動補償)進行校準時,為獲得整數的標準輸出值,各被校點的輸入信號應為被校點對應的電量值減去補償導線修正值。
測量誤差按式(2)計算:

---變送器被校點實際輸出,取多次測量的平均值,mA或V;
---變送器的輸出量程,mA或V;
---變送器的輸入量程,℃;
---變送器輸出的理論下限值,mA或V;
---變送器的輸入溫度值,即模擬熱電阻(或熱電偶)對應的溫度值,℃;
---變送器輸入范圍的下限值,℃;
---補償導線修正值,mV;
---熱電偶特性曲線各溫度測量點和斜率,對于某一溫度測量點可視為常數,mV/℃。6.2.1.3 測量結果的處理 測量誤差可以用輸出的單位表示,也可以用溫度單位表示,或者以輸入(或輸出)的百分數表示。 由于變送器的輸出通常都是溫度的線性函數,它們之間的折算可以按式(3)進行:

---以輸入的溫度所表示的誤差,℃。注:DDZ系列變送器中有些產品的輸出是熱電偶毫伏信號(或熱電阻的電阻信號)的線性函數。此時,式(1)-式(3)中的t應以毫伏信號(或電阻信號)代替。
6.2.2 絕緣電阻的測量
斷開變送器電源,用絕緣電阻表按表2規定的部位進行測量,測量時應穩定5s后讀數。
6.2.3 絕緣強度的測量
斷開變送器電源,按表3的規定將各對接線端子依次接入耐壓試驗儀兩極上,緩慢平穩地降至零。
注:為保護變送器試驗時不被擊穿,試驗時可使用具有報警電流設定的耐電壓試驗儀。設定值一般為5mA(特殊要求除外)。使用該儀器時,以是否報警作為判斷絕緣強度合格與否的依據。
6.3 數據處理原則
測量結果和誤差計算過程中數據處理原則:小數點后保留的位數應以修約誤差小于變送器最大允許誤差的1/10~1/20為限(相當于比最大允許誤差多取一位小數)。
在不確定度的計算過程中,為了避免修約誤差,可以保留2-3位有效位數。但最終的擴展不確定度只能保留1-2位有效數字。測量結果是由多次測量的算術平均值給出,其末位應與擴展不確定度的有效位數對齊。
7 校準結果表達
校準報告至少應包括下列信息:
a)標題,如“校準證書”或“校準報告”;
b)實驗室名稱和地址;
c)進行校準的地點(如果不在實驗室內進行校準);
d)證書或報告的惟一性標識(如編號),每頁及總頁數的標識;
e)送校單位的名稱和地址;
f)被校對象的描述和明確標識;
g)進行校準的日期,如果與校準結果的有效性和應用有關時,應說明被校對象的接收日期;
h)如果與校準結果的有效性和應用有關時,應對抽樣程序進行說明;
i)對校準所依據的技術規范的標識,包括名稱及代號;
j)本次校準所用測量標準的溯源性及有效性說明;
k)校準環境的描述;
l)校準結果及其測量不確定度的說明;
m)校準證書或校準報告簽發人的簽名、職務或等效標識,以及簽發日期;
n)校準結果僅對被校對象有效的聲明;
o)未經實驗室書面批準,不得部分復制證書或報告的聲明。
其中:
“本次校準所用測量標準的溯源性及有效性說明”中應包括標準器的名稱、型號規格、測量范圍及不確定度(或準確度等級、最大允差)、有效日期等說明。
“校準環境的描述”中應包括環境溫度、相對濕度和供電的狀況;帶傳感器的變送器還應說明校準時保護套管的拆卸狀態及升降溫試驗的說明。
“校準結果及其測量不確定度的說明”中應給出每個被校點溫度對應的輸出平均值或換算成溫度值(也可以用相應的誤差形式出現),以及相應的擴展不確定度和包含因子。如同一臺變送器各被校點的擴展不確定度相差不大時,可以取最大的代替。
相關閱讀
溫度變送器調校技能
溫度變送器校驗接線
一句話說溫度變送器校準方式
如何設置昌暉YR-ER213溫度變送器量程及分度號
